招生代码
12668
学校首页
设为首页
加入收藏
工商管理学院
首页
学院概况
学院简介
学院领导
师资介绍
专业设置
新闻公告
党政工团
党务活动
团•学活动
工会活动
教研科研
教学研究
科学研究
学生工作
招生就业
招生
就业
毕业生风采
专升本
下载专区
表格下载
评建专栏
相关栏目
院系热点
首页
»
新闻公告
»
正文
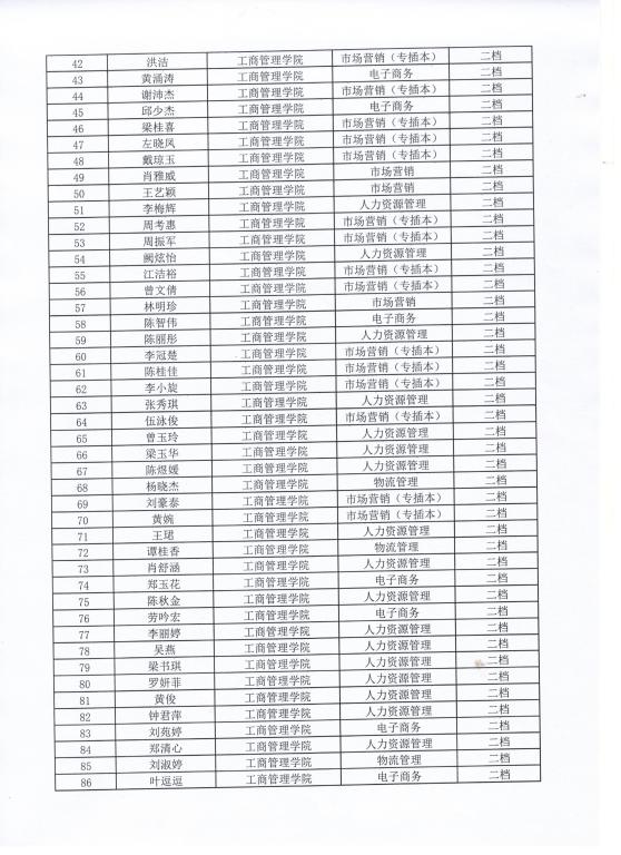
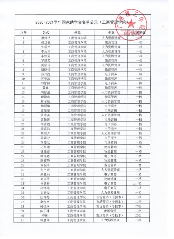
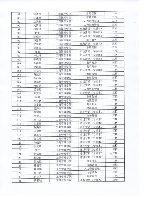
工商管理学院2020-2021学年获得助学金名单公示
发布时间:2020年11月20日
发布部门:工商管理学院 来源: 工商管理学院
字体大小:
小
中
大
版权所有:广州理工学院 工商管理学院 地址:广州市白云区太和兴太三路638号
联系电话:020-87465030、020-87465375